@Ndindu should be the biggest supplier wa Kenya Power, and a billionaire. But kazi ni $hitting on the internet 24/7 unlike his fellow electrical hinjinias, na walisoma same syllabus starting with V=IR.
5 Likes
Kenya ukijaribu kuweka biashara sampuli hio serikali yote itakuwa hapo na wewe, licences pekee yake zinafanya unafunga kazi, uki manage kufanya kitu, KRA, ndio hao.
5 Likes
Alafu Kenya Power will still buy from the Chinese or whatever after being paid za macho.
4 Likes
Banae! Kufanya biz imekuwa ngumu especially kama unatumia nareh…wasee wa hoteli hulia tu kplc…
3 Likes
They should switch to solar panels like Wuod Ugenya.
Am fully off grid Now I no longer depend on KPLC for power.
1 Like
That’s the only way…
1 Like
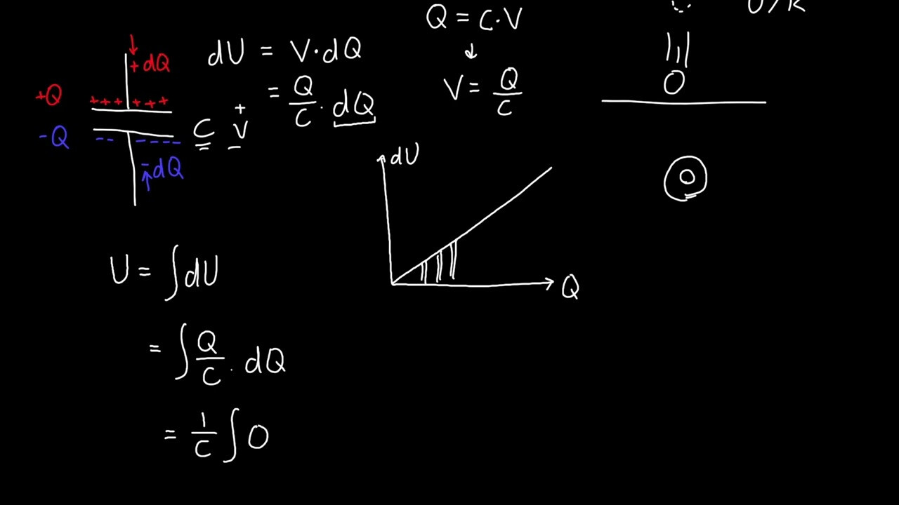
V=IR
P=VI
Q=CV
W=CV^2/2
1 Like
Irumi nî cia kîî gathee?
Thaayu muthuri.
W=Q^2/2C
1 Like
Ndio hiyo sasa
Ndindu anafikiria 90% of his time insulting nabii
